Téléchargement Gratuit 1001+ Hand Lettering Capital J Calligraphy
Lee S Boston Drum Builders Blog
Keeping You In The Know Tax Savers
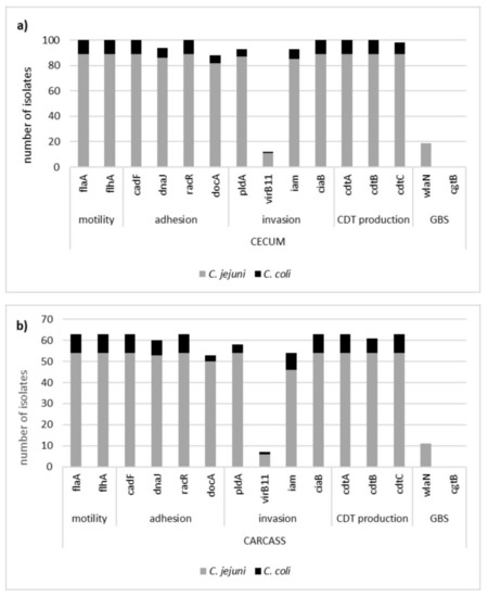
Animals Free Full Text Antimicrobial Resistance And Virulence
Memphis Calligraphy Guild Events
Learn To Quill Letters Paper Zen Alphabet E Books
Pin By Elizabeth On Calligraphy With Images Hand Lettering
Irishgenealogynews November 2019
Jane Farr Calligraphy And Design Bible Verse Tattoos Lettering
Jana Miller Portfolio Jm Logo 146
Search Results For Newspaper New York Herald Available Online 9
Italian Hand From The Universal Penman By George Bickham C
The Pensive Pen Guidelines The Ames Lettering Guide
Voix Des Arts A Voice For The Performing Arts Throughout The
Désir d’administration article ce peut aider Tout le monde, n’oubliez pas de voir articles d’autres intéressants assez sage pas pas sur les explore. S'il vous plaît avantage recherche de boutons ce su ce site de blog.
Did you find this page useful? you can bookmark this page to your timeline for reference later! Thanks




